の続きです。
今回は月次の変化率のヒストグラムや箱ひげ図を描いてみます。
hist関数でヒストグラムが作成できます。


日経平均は左側、ドル円は右側の裾野が広いですね。売買代金は右側に裾野が広いです。
箱ひげ図はboxplot関数です。


日経平均は小さいほうに外れ値があります。ドル円と売買代金は大きいほうに外れ値があります。
sort関数とplot関数を組み合わせて小さい順に並べてみます。3つ別々では芸がないので、一度にやってみます。


売買代金が一番変動が大きく、ドル円が一番変動が小さいことが一目瞭然ですね。
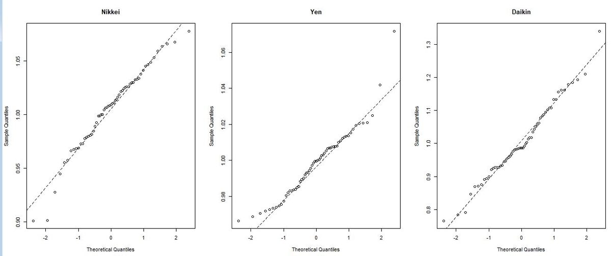
次は、quantile-quaantile plotを作図してこれらの月次変化が正規分布になっているかどうかをみてみましょう。qqnorm関数とqqline関数を使います。


日経平均とドル円のquantile - quantile plotは両端が点線の直線から外れていますから正規分布では無いことがわかりますね。
shapiro.test関数で正規分布かどうか調べることができます。

shapiro.test関数では、p-valueが0.05より小さいと正規分布とは言えないという結論になります。日経平均と売買代金は正規分布と有意な違いは無いです。それに対してドル円はp-valueが0.007063と0.05よりも小さいので正規分布とは有意に違うということです。日経平均のquantile - qunatile plotぐらいでは正規分布と違うとは言えないのですね。
今回は以上です。