Rで何かをしたり、読書をするブログ

政府統計の総合窓口のデータや、OECDやUCIやのデータを使って、Rの練習をしています。ときどき、読書記録も載せています。

乗用車ブランド通称名別順位のデータ分析4 - 日産とホンダの販売台数、順位に違いはあるか?

 

www.crosshyou.info

 の続きです。

tapply関数でメーカー別の販売台数を見てみましょう。

f:id:cross_hyou:20191116152739p:plain

トヨタが204,628台でダントツですね。2位がホンダの63,507台、3位が日産の62,943台です。

メーカーごとの平均順位はどうでしょうか?

f:id:cross_hyou:20191116152939p:plain

トヨタが15.78で1位ですね。2位が日産で24.75、3位がホンダで27.17です。日産とホンダの販売台数を比較してみましょう。

まず、日産とホンダだけのデータフレームを用意します。

f:id:cross_hyou:20191116153658p:plain

Makerの列を見ると、ホンダが18、日産が12となっていますので、ホンダのほうがランクインしている会社が多いということですね。

日産の販売台数のベクトル、ホンダの販売台数のベクトルを作ります。

f:id:cross_hyou:20191116154226p:plain

それぞれの統計値を見てみます。

f:id:cross_hyou:20191116154411p:plain

日産は平均値は5245台、平均値の95%信頼区間は2266台から8223台です。

ホンダはどうでしょうか?

f:id:cross_hyou:20191116154654p:plain

ホンダは平均値は3528台、平均値の95%の信頼区間は2345台から4710台です。

両社の平均値に有意な違いは無さそうです。

データの数が日産は12、ホンダは18と少ないので、Wilcoxon Rank-Sum Testで調べましょう。wilcox.test関数です。

f:id:cross_hyou:20191116155024p:plain

p-value = 0.7321なので両社の販売台数の間に有意な違いはないようです。

グラフで見てみます。

f:id:cross_hyou:20191116155536p:plain

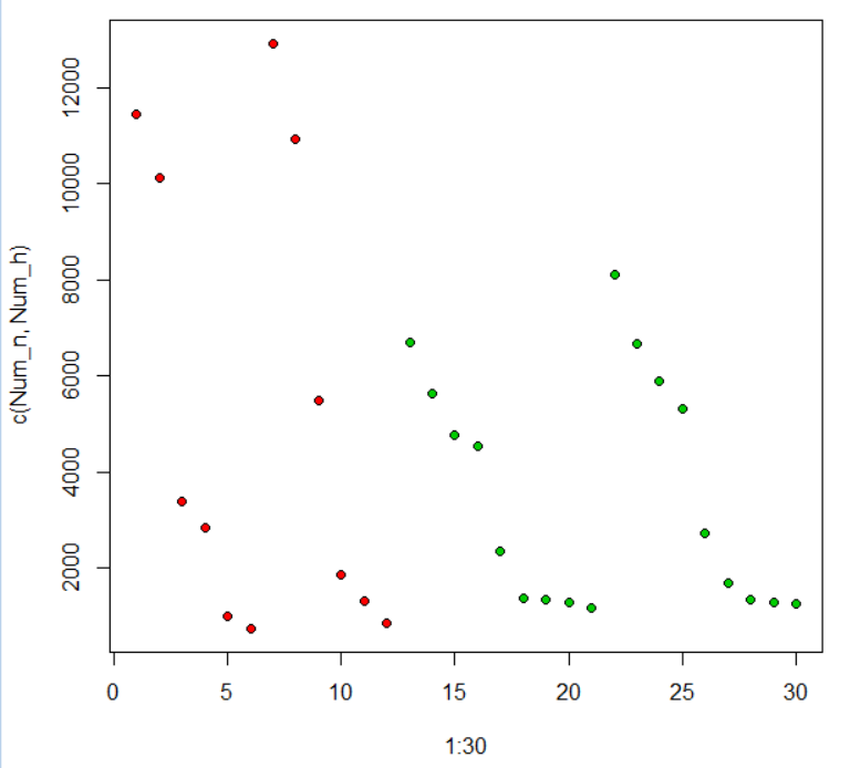
f:id:cross_hyou:20191116155547p:plain

赤いのが日産、青いのがホンダです。日産は上位2種類のクルマが目立ちますね。

両社のランクについても同じようにしてみましょう。

f:id:cross_hyou:20191116160024p:plain

グラフにしてみます。

f:id:cross_hyou:20191116160219p:plain

f:id:cross_hyou:20191116160229p:plain

日産(赤い点)のほうが範囲が大きいですね。統計値を調べます。

f:id:cross_hyou:20191116160445p:plain

日産の順位の平均値の95%信頼区間は12から37、ホンダは20から34ですので両社のあいだに有意な違いは無いですね。wilcox.testで確認します。

f:id:cross_hyou:20191116160735p:plain

p-valueが0.8323なのでやはり両社に違いがあるとは言えないですね。

今回は以上です。